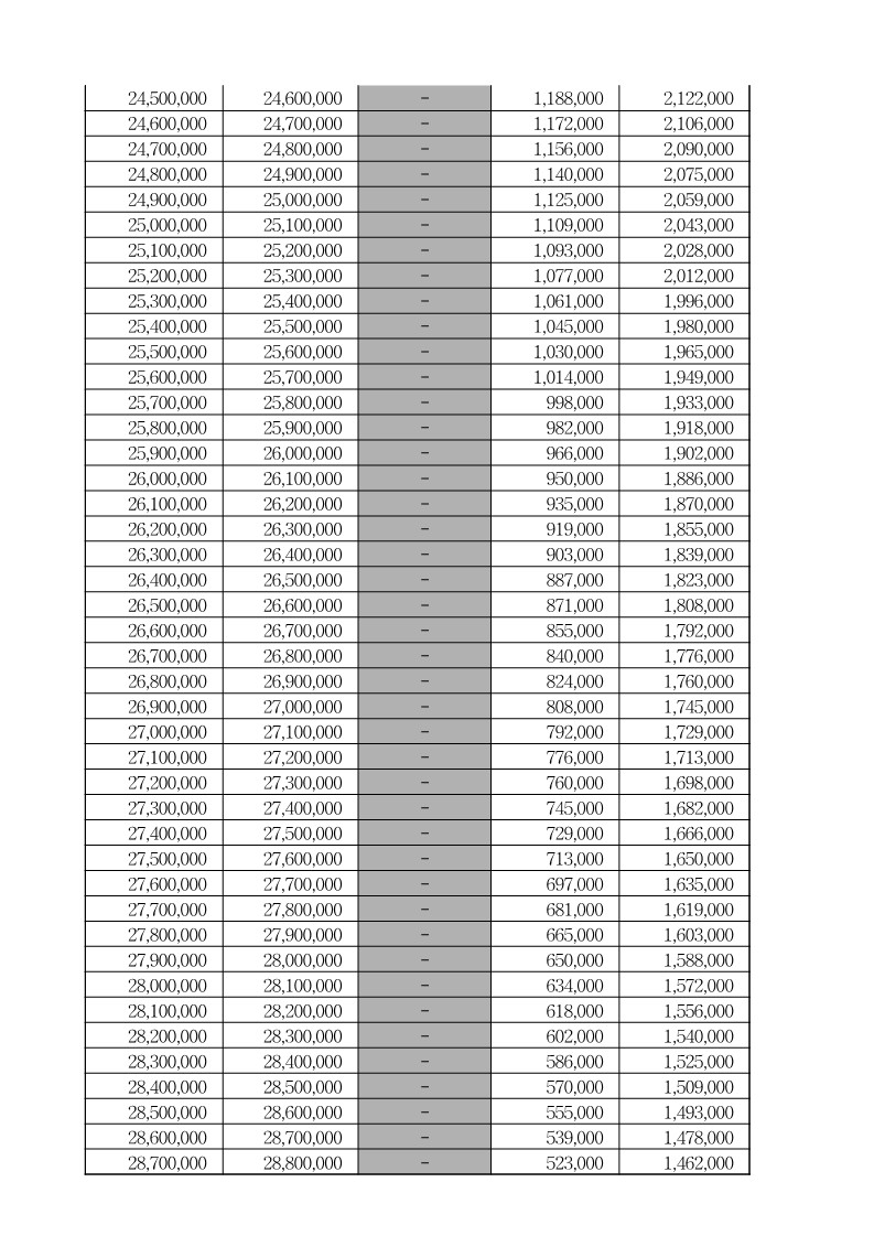
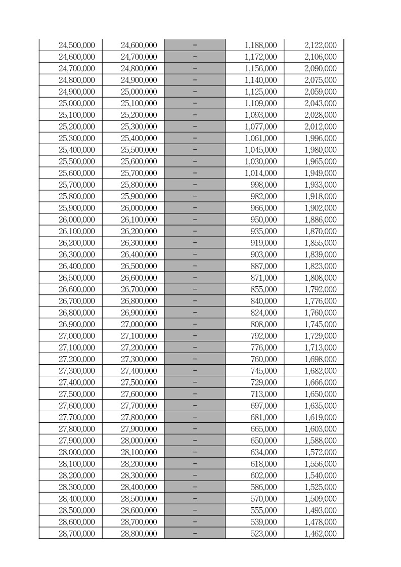
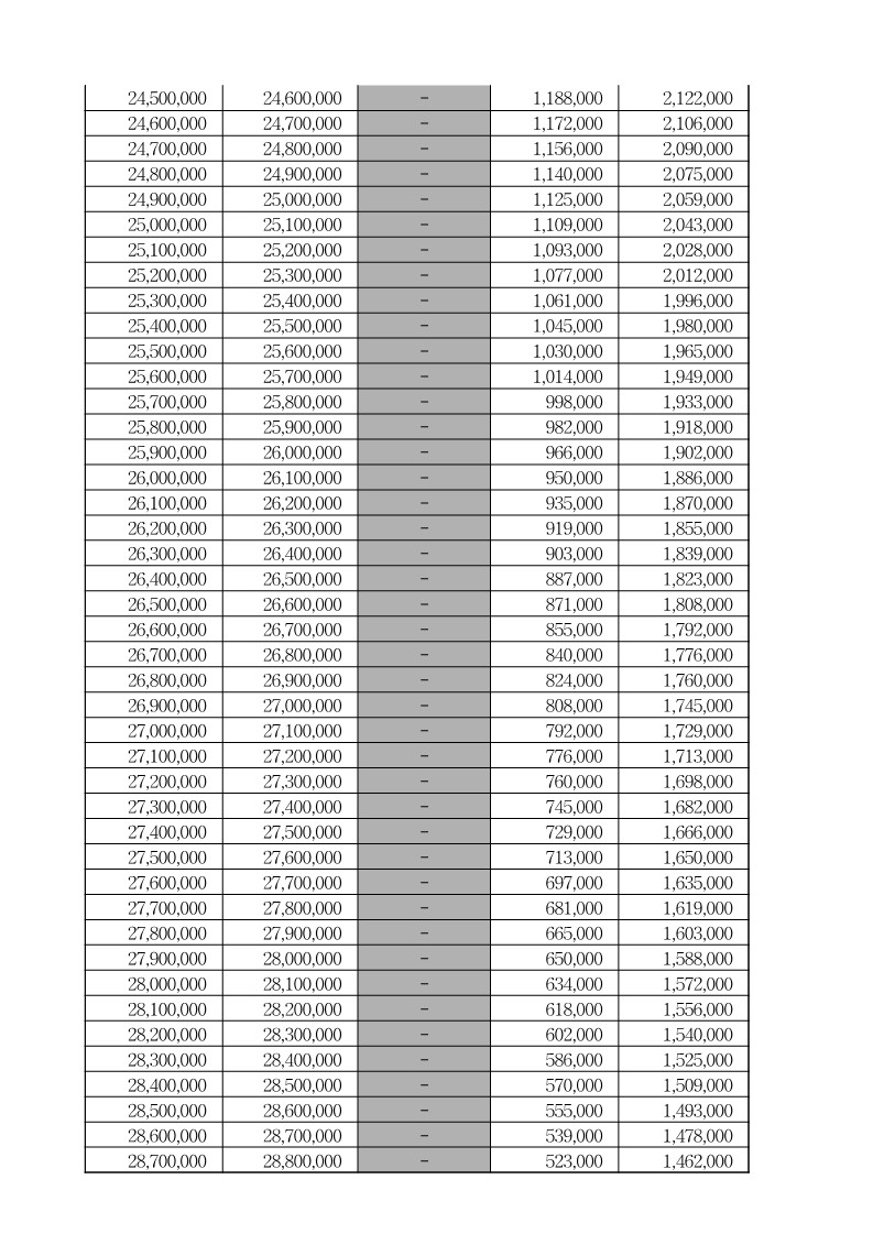
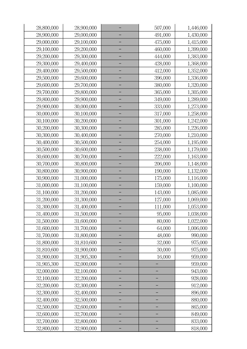
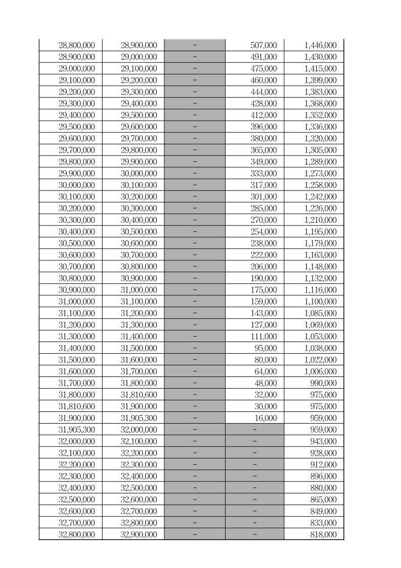
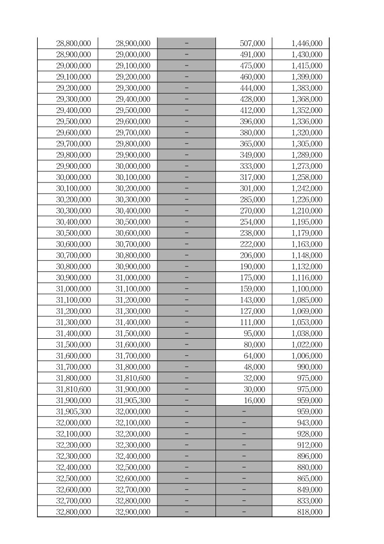
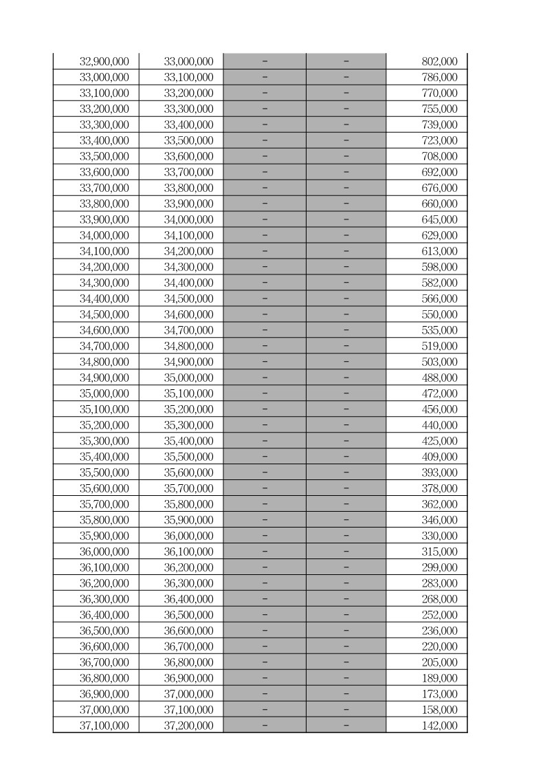
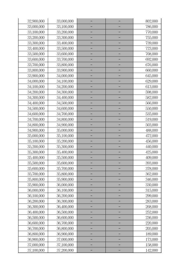
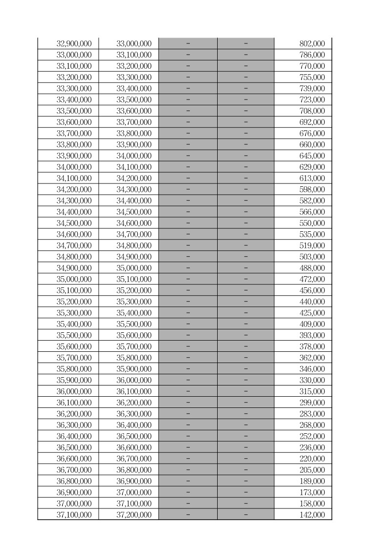
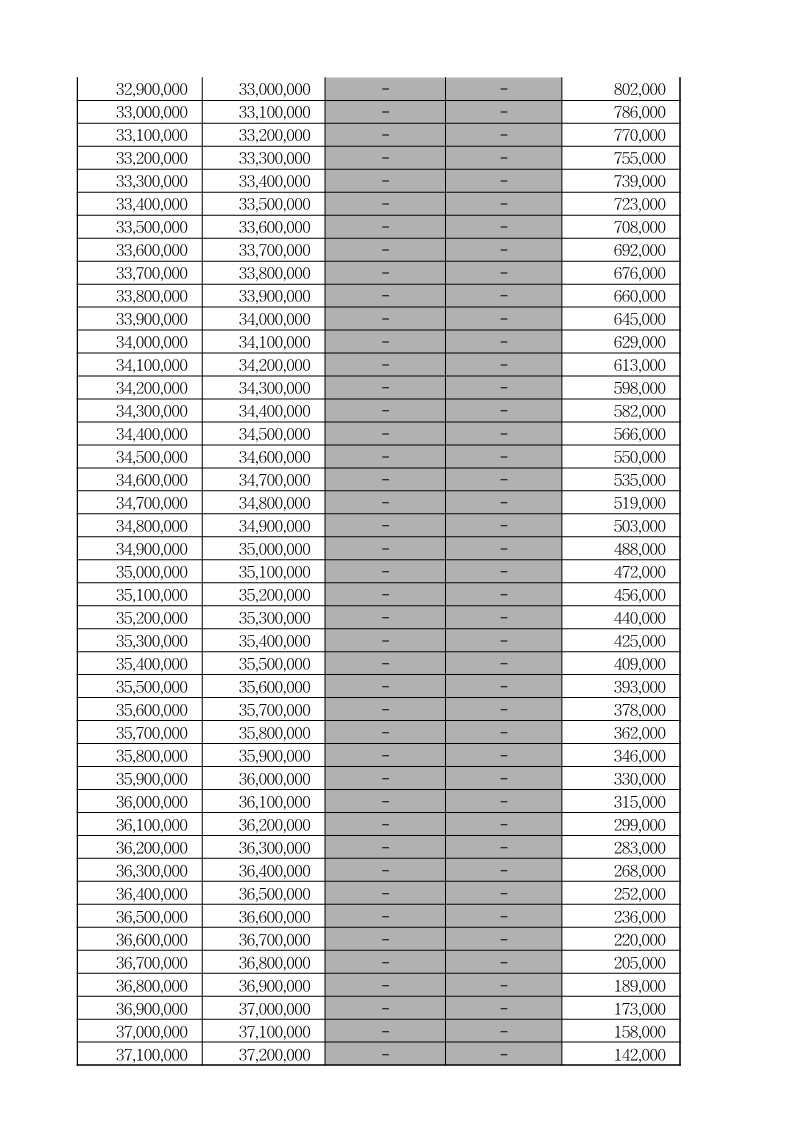
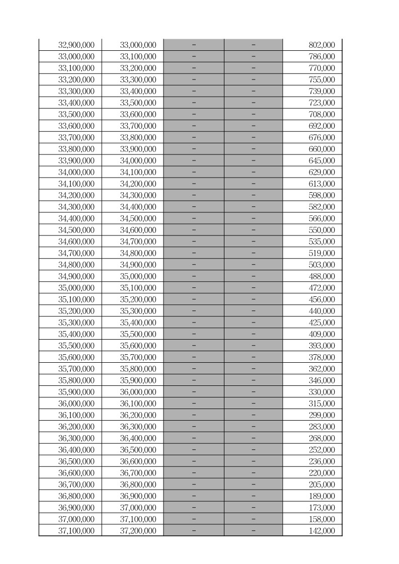
2023년 근로장려금 산정표는 연소득별, 가구형태별 장려금을 얼마나 받을 수 있는지를 표로 만들어서 알려드립니다. 본인의 가구 형태별 조건을 보고 자신의 연소득을 알면 산정표에서 찾아 곧바로 얼마의 장려금을 받을 수 있는지 알 수 있습니다.
각 가구별 최대 받을 수 있는 장려금액
- 단독 가구 : 최대금액 165만원 지급
- 홑벌이가구 : 최대금액 285만원 지급
- 맞벌이가구 : 최대금액 330만원 지급
연소득 최대구간
- 단독 가구 : 연소득 390만원 이상 부터 ~ 910만원 미만 : 최대금액 165만원 지급
- 홑벌이가구 : 연소득 690만원 이상 부터 ~ 1410만원 미만 : 최대금액 285만원 지급
- 맞벌이가구 : 연소득 790만원 이상 부터 ~ 1710만원 미만 : 최대금액 330만원 지급
지급일
2022년 작년 7월~12월 사이 근로소득신청 : 3월 1일 ~ 15일
2022년 작년 1월~12월 전체 근로소득신청 : 5월 1일 ~ 말일
2023년 올해 1월~ 6월 사이 근로소득신청 : 9월 1일 ~ 15일










근로장려금 정기 접수가 안되요 | 종합소득세 자녀장려금 둘다 | 따로 신청 Q&A 질문
근로장려금 정기 접수가 안되요 | 종합소득세 자녀장려금 둘다 | 따로 신청 Q&A 질문
근로장려금 신청 시 헛갈리는 것들이 있지요? 문의가 많은 부분만 Q&A로 모아보았습니다. 문의 목차 Q : 지난번에 근로장려금 신청했어요. 이번에 신청했더니 접수가 안됩니다. 왜 그럴까요? Q :
jinia100.com
2023 근로장려금 모든정보 지급일 | 기한 후 신청 지급일
2023 근로장려금 지급일 | 기한 후 신청 지급일
국가는 국가의 근간인 국민들이 너무 힘든 상황에서 벗어나 살아나가고, 잘 살아나가서 세금을 잘 낼 수 있는 상태가 되기를 바랍니다. 국민들이 살아가면서 생활에 필요한 이런저런 소비를 하
jinia100.com
신속채무조정 청년특례 신청 대상 내용 서류 방법
신청기간이 따로 없이 상시적으로 운영되는 신속채무조정 청년특례제도가 있습니다. 만 34세 이하의 청년이 채무가 있을 때 도움을 받을 수 있습니다. 아래와 같은 대상의 경우 지원받을 수 있
jinia100.com
경기도 내 최단기노동자, 비정규직 노동자 등을 위한 정책
2023 경기도 노동자 휴가비 지원금 신청하기
경기도와 경기관광공사는 경기도 내 노동자에게 휴가비를 지원합니다. 열심히 일한 당신에게 여가환경을 개선하고 휴가의 기회를 확대하여 더 나은 휴가를 보내도록 돕습니다. 초단시간 노동
a01.jinia100.com
2023 경기도 청년 지원금 면접수당 5.10모집 ~ 12.31까지
경기도에서는 청년면접수당으로 청년들이 열정적으로 구직활동을 하도록 지원합니다. 구직활동의 일환으로 면접을 보는 청년들에게 면접수당을 제공합니다. 경기도 청년면접수당 내용 지원대
a01.jinia100.com
댓글